■高校数学の頁についてのアンケート集計結果

○この頁は、当サイトの高校数学の頁(集合、順列・組合せ、余弦定理など)に設置したアンケートの集計結果です。
実施期間:2010.8.29〜2010.10.19
回答者数:205人
○アンケート項目等
 読者が回答する項目は、右欄のp1〜p4の通りで、結果を集計するにあたって4段階の間隔尺度を0%〜25%、25%〜50%、50%〜75%、75%〜100%の比例尺度に当てはめた。
 p5についは、秒数のまま集計した。
○集計結果の相関係数は次のようになった。
  p1 p2 p3 p4 p5
p1   0.530 0.526 0.242 0.088
p2 0.530   0.822 0.577 0.072
p3 0.526 0.822   0.685 0.131
p4 0.242 0.577 0.685   0.117
p5 0.088 0.072 0.131 0.117  
 相関係数から順序性係数を求めると次のようになった。
  p1 p2 p3 p4 p5
p1   0.269 0.258 0.124 0.306
p2 1.047   0.797 0.585 0.496
p3 1.072 0.849   0.717 0.933
p4 0.472 0.569 0.655   0.797
p5 0.025 0.010 0.018 0.017  
※順序性係数および小数値に順序性係数を適用する方法(筆者の独自研究.学会等の査読なし)については、この頁(PPT)参照
【 アンケート 】 
p1.今まで,あなたにとって高校数学は
1 全然分からなかった
2.あまり分からなかった
3.分かる所と分からない所がある
4.ほぼ分かっている
p2.そもそもこの頁には何の話が書かれていたのか分かりましたか
1.全然分からなかった
2.あまり分からなかった
3.少し分かった
4.よく分かった
p3.解説を読めば問題の解き方は分かりましたか
1.全然分からなかった
2.あまり分からなかった
3.少し分かった
4.よく分かった
p4.この頁の内容はあなたの期待したものと比べてどうでしたか
1.全く期待はずれ
2.少し期待はずれ
3.期待通り
4.期待以上
p5. 以上の質問の他に、その頁を読み始めてから回答が送信されるまでに要した時間≒読まれた時間を測定したもの(秒)が自動的に測定される。
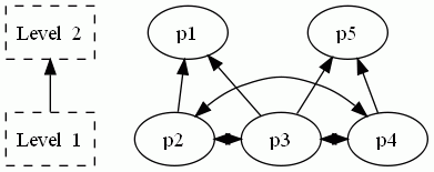
○上記の表から項目関連構造グラフにしたのが右図である。この図から、アンケート結果を次のようにまとめることができる。

 p1を回答者の数学の「学力」、p2を「場面理解」、p3を「操作理解」、p4を「満足度」、p5を「閲覧時間」と略すと、
  • p2⇔p3⇔p4の関係から、「場面理解」が高いほど「操作理解」も「満足度」も高くなる傾向がある
  • 場面理解、操作理解、満足度が高いほど閲覧時間が長くなる傾向がある
  • (因果関係の時間の反転に注意すると)満足度などの高い人は、数学の学力も高い傾向が見られる
  • しかし、逆に閲覧時間が長いほど満足度等が高いとは限らず、数学の学力が高いほど満足度が高いとも限らない
○まとめ
 この分析からは、高校数学が「全然分からなかった」「あまり分からなかった」人の「満足度」および「閲覧時間」を高めるための直接的なヒントは得られなかった・・・そもそも数学の「学力」は過去の話なので、アンケートで「学力」が「満足度」と無関係という結果が出たときに、ねらいが達成されることになる。
 「学力」と「閲覧時間」には相互関係が見られない・・・元の「学力」が低くても閲覧時間の長い人も短い人もある。元の「学力」の高い人にも閲覧時間の長短あり、元の「学力」の低い人にも読める教材を!というねらいは部分的に達成されている。
 p2⇔p3⇔p4の関係からは、「場面理解」など入口のハードルを下げると、「操作理解」「満足度」が高まることが言えるのはおおいに参考になる。

○===メニューに戻る