PC用は別頁

== 階差数列 ==

【解説】
数列の「各項の差」からなる数列を元の数列の階差数列と言います。
【例】 次の数列{bn}は,数列{an}の階差数列です.
(階差数列の使い道)
元の数列よりもその差から作った階差数列の方が簡単な規則性を持っていることが多いので,階差数列で規則性を見つけて,元の数列の一般項を求めることができます。

【階差数列の定義】
元の数列を{an}, 階差数列を{bn}で表わすとき
bn = an+1−an …(1)

【階差数列から元の数列を求める公式】
n=1のときan=a1
n≧2のとき…(2)
(1)の解説
図のように,元の数列 {an} の隣り合う2つの項について
(後の項)(前の項)
でできる数列が階差数列 {bn} なので
b1=a2a1

b2=a3a2

b3=a4a3



一般に
bn=an+1an

になります.



(2)の解説
○ n=1のときan=a1は当然のようですが,n=1の場合
だけ他とは異なる計算になりますので,分けて書くことは重要です.

○ n≧2のとき
※この公式は,「階差数列の一般項は分かる」が「元の数列の一般項が分からない」場合に,
階差数列」から「元の数列」を求めるという場面を考えると,使い道が分かります.
始発駅a1と地下通路b1 , b2 , b3 , ...が分かっているときに,地下通路を1区間行けば第2の駅に達します.
始発駅から,地下通路を2区間行けば第3の駅に達します.
駅がn個あるときの区間の数はn−1個になる(植木算)ことに注意すると,第n番の駅に達するには,地下通路をn-1区間進むとよい.
これを式で書くと
an=a1+(b1+b2+···+bn−1 )
Σで書けば


補足説明

 ※ 高校では,Σの部分は「実際に和を表わしていること」が条件になります。次の例において,k=1〜0は(上下逆転のため)和を表わしません。
 実際の和を表わさないこのような形式的な和は,高校では使わないということです。


の式をn=1の場合に使うと

となって,Σ記号の初めと終わりで逆転が起こります.だから,n=1のときはこの公式は使えないという約束になっています.

例題1 次の数列の一般項を求めなさい。
6,11,18,27,38,・・・
答案例
元の数列を{a},階差数列を{b}とおくと
{b} 5,7,9,11,・・・より
=2n+3
※ 上の答案において,次の箇所に気をつけましょう。

1 b=2n+3 を Σ内に入れるときに=2k+3に直すこと。



※ 初めのうちはきっちり意識するために,ア,イのように分けて答案を作る方がよい.



[問題]
 次の数列の一般項を求めなさい。
3,5,9,15,23,・・・

[答案]
元の数列を{a},階差数列を{b}とおくと,{b}は

2,4,6,8,・・・
  b=[ア]

n≧2のとき,

これはn=1のときも成り立つ。
各々正しいものを選びなさい。
[ア]
2n,2(n-1),2k,2(k-1)
[イ]
2n,2(n-1),2k,2(k-1)
[ウ]
n(n+1),(n-1)n,k(k+1),(k-1)k
[エ]
n2-n+3,n2+n+3,k2-k+3,k2+k+3
 
 次の数列の一般項を求めなさい。
0,1,5,14,30,55,・・・

[答案]
元の数列を{a},階差数列を{b}とおくと,{b}は

1,4,9,16,25・・・
  b=[ア]

n≧2のとき,

これはn=1のときも成り立つ。
各々正しいものを選びなさい。
[ア]
n2(n-1)2k2(k-1)2
[イ]
n2(n-1)2k2(k-1)2
[ウ]

 

[解説]
 階差数列を1回求めても簡単にならないとき,2回・・と求めて,一般項が求まったら,順に戻ります。(それぞれ第1階差数列,第2階差数列・・と呼びます。) 

第2階差{c}で一般項が求まれば以下のようにして、元の数列の一般項を求めます。
(1) cnからbnを求める
n=1のときbn=b1…(i)
n≧2のとき…(ii)
以上の(i)(ii)を「結果的に」まとめることができれば,1つの式で表す.
n≧1のとき,bn=

(2) bnからanを求める
n=1のときan=a1…(i)
n≧2のとき…(ii)
以上の(i)(ii)を「結果的に」まとめることができれば,1つの式で表す.
n≧1のとき,an=
 第2階差数列→第1階差数列においてもΣはn-1項まで加えることに注意してください。
Cの項数が減って n−2 までの和と考える生徒が多いようですが,bを求めるためにはcは n−1 まで加えます。(「一般項b」を求めると考えた方が分かりやすい。)
ではなく
が正しい

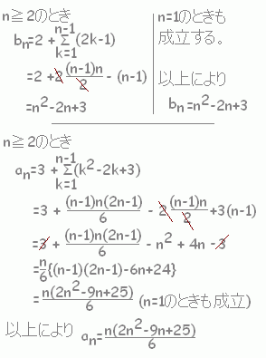
例題2 次の数列の一般項を求めなさい。
3,5,8,14,25,43,・・・
答案例
 元の数列を{a},第1階差数列を{b},第2階差数列を{c}とおくと
{b} : 2,3,6,11,18,・・・
{c} :  1,3,5,7,・・・だから
=2n-1 (n≧1)


[問題]
 次の数列の一般項を求めなさい。
1,3,8,18,35,61,・・・

[答案]
元の数列を{a},第1階差数列を{b},第2階差数列を{c}とおくと,
{b} : 2,5,10,17,26,・・・
{c} :  3,5,7,9,・・・
 c=[ア]
(n=1のときも成り立つ。)
(n=1のときも成り立つ。)・・答

各々正しいものを選びなさい。
[ア]
2n-1,2n+1,2k-1,2k+1
[イ]
3,2
[ウ]
(2n-1),(2n+1),(2k-1),(2k+1)
[エ]
n2+1,n2+2n+2,k2+1,k2+2k+2
[オ]
3,2,1
[カ]
(n2+1),(n2+2n+2),(k2+1),(k2+2k+2)
[キ]
 
 次の数列の一般項を求めなさい。
1,4,8,14,24,42,・・・

[答案]
元の数列を{a},第1階差数列を{b},第2階差数列を{c}とおくと,
{b} : 3,4,6,10,18,・・・
{c} :  1,2,4,8,・・・
 c=[ア]
(n=1のときも成り立つ。)
(n=1のときも成り立つ。)・・答
 

各々正しいものを選びなさい。
[ア]
2n2n-12k2k-1
[イ]
3,1
[ウ]
2n2n-12k2k-1
[エ]
2n-1+2,2n-1+3,2n-2+2,2n-2+3
[オ]
3,1
[カ]
2k-1+2,2k-1+3,2k-2+2,2k-2+3
[キ]
2n-1+2n-2,2n-1+3n-2,2n+2n-2,2n+3n-2
※等比数列の和についてはこのページを参照のこと。  

■[個別の頁からの質問に対する回答][階差数列について/18.7.20]
Σの中が二次関数の場合の公式は存在するでしょうか。
=>[作者]:連絡ありがとう.自然数の累乗の和のページに書いています.



だから


あとは,必要に応じて因数分解などして使いやすい形にします.
■[個別の頁からの質問に対する回答][階差数列について/18.9.24]
最高によき
=>[作者]:連絡ありがとう.
■[個別の頁からの質問に対する回答][階差数列について/17.6.21]
わかりやすかった
=>[作者]:連絡ありがとう.

...(携帯版)メニューに戻る

...メニューに戻る