== 4次方程式 ==

 数値係数の4次方程式について,高校数学Uの範囲では次の(A),(B)の解き方が,高校数学Bの範囲では(C)の解き方が,高校数学では扱わないものとして(D)の解き方があります.
ただし,今日ではコンピュータを用いて簡単に解けること(E)を忘れないようにしてください.

(このページで扱う方法) 青いタイトルをクリックでジャンプ
(このページで扱わない方法)
(C)ド・モアブルの定理によって2項方程式を解く方法
(D)解の公式による(3次:カルダノの方法,4次:フェラリの方法)
(E)数学ソフトを用いて解く方法

(A)[1] 複2次方程式
x4−5x2+43x6+5x4−x2+7のようにxの偶数次の項x2 , x4 , x6 , ...(および定数項)だけを含む多項式を複2次式といい,複2次式でできている方程式を複2次方程式という.

複2次方程式ではx2=Xとおくと次数が半分になるから,4次の複2次方程式は2次方程式になり簡単に解くことができる.
【例 A.1.1】
x4−5x2+4=0
(解答)
x2=Xとおくと
X2−5X+4=0
(X−1)(X−4)=0
X=1 , 4
ア)X=1のとき
x2=1よりx=±1
イ)X=4のとき
x2=4よりx=±2
以上により,x=±1 , ±2…(答)
この問題ではXすなわちx2が正の平方数であったが,
Xが平方数でなければxは無理数になり(例A.1.2),
Xが負の数であればxは虚数になる(例A.1.3)
【例 A.1.2】
x4−7x2+12=0
(解答)
x2=Xとおくと
X2−7X+12=0
(X−3)(X−4)=0
X=3 , 4
ア)X=3のとき
x2=3よりx=±
イ)X=4のとき
x2=4よりx=±2
以上により,x=± , ±2…(答)
右上に続く→
【例 A.1.3】
x4−2x2−3=0
(解答)
x2=Xとおくと
X2−2X−3=0
(X+1)(X−3)=0
X=−1 , 3
ア)X=−1のとき
x2=−1よりx=±i
イ)X=3のとき
x2=3よりx=±
以上により,x=± , ±i…(答)

(*) Xが虚数になるとき,±のような答は高校では最終形として認めていないことに注意.
高校では,そもそも複素数とは実数a , bと虚数単位iを用いてa+biの形に書ける数のことを言うのでa+biの形で答えなければならない.(例A.1.4)
【例 A.1.4】
x4+4=0
(解答)
x2=Xとおくと
X2+4=0
X2=−4
X=±2i
ア)X=2iのとき
x2=2iより(a+bi)2=2iとなる実数a , bを求める
a2−b2=0…(1)
ab=1…(2)
(1)より (その1)a=bのとき
(2)に代入 b2=1b=±1
よって,a=1 , b=1またはa=−1 , b=−1
したがって,x=1+i, −1−i
(その2)a=−bのとき
(2)に代入 b2=−1bは実数でなければならないから,ここからは解は出ない
イ)X=−2iのとき
x2=−2iより(a+bi)2=−2iとなる実数a , bを求める
a2−b2=0…(1)
ab=−1…(2)
(1)より (その1)a=bのとき
(2)に代入 b2=−1bは実数でなければならないから,ここからは解は出ない
(その2)a=−bのとき
(2)に代入 b2=1a=−1 , b=1またはa=1 , b=−1
したがって,x=−1+i , 1−i
以上により,x=1+i, −1−i , −1+i , 1−i…(答)


【問題 A.1.1】 次の4次方程式の解を求めてください.
(下の選択肢から正しいものをクリック)
x4−13x2+36=0
x=±1,±2 x=±1,± x=±,±i

x=±2,±3 x=±2,±i

【問題 A.1.2】 次の4次方程式の解を求めてください.
(下の選択肢から正しいものをクリック)
x4−3x2+2=0
x=±1,±2 x=±1,± x=±,±i

x=±2,±3 x=±2,±i

【問題 A.1.3】 次の4次方程式の解を求めてください.
(下の選択肢から正しいものをクリック)
x4−x2−2=0
x=±1,±2 x=±1,± x=±,±i

x=±2,±3 x=±2,±i

【問題 A.1.4】 次の4次方程式の解を求めてください.
(下の選択肢から正しいものをクリック)
x4+1=0
x=±1,±2 x=±1,± x=±,±i

x=±2,±3 x=±2,±i


(A)[2] 複2次方程式の発展形
【例 A.2.1】
(x2+5x+4)(x2+5x+6)−24=0
(解答)
x2+5x=Xとおくと
(X+4)(X+6)−24=0
X2+10X=0
X=0 , −10
ア)X=0のとき
x2+5x=0よりx=0 , −5
イ)X=−10のとき
x2+5x=−10よりx2+5x+10=0

以上により,…(答)
この問題では「同じ2次式x2+5xが2回登場したので」これをXとおくことにより2次方程式にすることができたが,初めから同じ2次式が見えている場合だけでなく,工夫して展開すれば同じ2次式が登場するようにできる場合もある(例A.2.2)
【例 A.2.2】
(x+1)(x+3)(x+5)(x+7)=9
(解答)
x+1x+7を組合せ,x+3x+5を組合せると2つともx2+8x+...の形になる
(x+1)(x+7)(x+3)(x+5)=9
(x2+8x+7)(x2+8x+15)=9
x2+8x=Xとおくと
(X+7)(X+15)=9
X2+22X+96=0
(X+6)(X+16)=0
X=−6 , −16
ア)X=−6のとき
x2+8x=−16よりx2+8x+16=0x=−4(重解)
イ)X=−6のとき
x2+8x=−6よりx2+8x+6=0
2次方程式の解の公式を使って解くと
以上により,x=−4(重解),…(答)

【問題 A.2.1】 次の4次方程式の解を求めてください.
(下の選択肢から正しいものをクリック)
(x2+2x+2)(x2+2x−1)=10
x=−1,3, −1±i x=1,−3, −1±i



【問題 A.2.2】 次の4次方程式の解を求めてください.
(下の選択肢から正しいものをクリック)
(x−1)x(x+1)(x+2)=24
x=−1,3, −1±i x=1,−3, −1±i




(A)[3] 相反方程式
 相反方程式とは降べきの順に整理された方程式の係数がx4+2x3−6x2+2x+1=0のように左から読んでも右から読んでも同じ(1→2→−6→2→1)になるものをいう.

 相反方程式は,中央の項の次数で両辺を割るとで表すことができる.とおくと4次の相反方程式はの2次方程式になる.
【例 A.3.1】
x4+2x3−6x2+2x+1=0

一般にで表せる.

だから

(解答)
x=0は解ではないから,両辺をx2=0で割ると



ここでとおくと

となることに注意すると




ア)X=2のとき
より
x2+1=2x(x−1)2=0x=1(重解)
イ)X=−4のとき
より
x2+1=−4xx2+4x+1=0
2次方程式の解の公式を使って解くと
以上により,x=1(重解),…(答)
相反方程式の解が虚数になるときは,上記のA.1.3 (*) と同様にa+biの形で答えなければならない.

【問題 A.3.1】 次の4次方程式の解を求めてください.
(下の選択肢から正しいものをクリック)
x4+2x3−22x2+2x+1=0
x=2±,−3±2 x=3±,−2±2



【問題 A.3.2】 次の4次方程式の解を求めてください.
(下の選択肢から正しいものをクリック)
x4−x3−10x2−x+1=0
x=2±,−3±2i x=3±,−2±2i




(B) 因数定理などにより因数分解して次数を下げる方法
※因数定理を使って,因数を1つ見つけて割り算を行えば,次の(1)の例のように4次方程式→3次方程式へと次数を下げることができますが,
さらに,3次方程式を解くために,因数を見つけて割り算を行い3次方程式→2次方程式へと次数を下げる必要があります.(この作業は大変です)

しかし,次の(2)の例のように4次方程式の段階で一度に2つの因数を見つけておくと,2次式で割ることによって4次方程式→2次方程式へと次数を2つ下げることができます.できる限りこちらの方法を取る方がよいでしょう.ただし,割る式は「展開した形」でなければできませんので注意
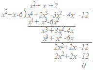
【例 B.1】
x4+2x3−3x2−4x−12=0
(解答)
【例(1)】
f(x)=x4+2x3−3x2−4x−12とおく
整数係数aを用いて,
x4+2x3−3x2−4x−12=(x+a)(x3+bx2+cx+d)
のように因数分解できるとすればad=12となるはずだからa−12の約数になっているはず.(符号は±とも可能)

そこでa=±1, ±2, ±3, ±4, ±6, ±12と順に試してみてf(a)=0となるものを探す.これは運だめしなので,結果はやってみないと分からない.
f(2)=0となるからf(x)x−2で割り切れる.
割り算を行う

g(x)=x3+4x2+5x+6とおく
先ほどと同様の事情で,6の約数を(符号は正負ともあり)調べる.

p=±1, ±2, ±3, ±4, ±6と順に試してみてg(p)=0となるものを探す. g(−3)=0となるからg(x)x+3で割り切れる.
割り算を行う

以上により,f(x)=(x−2)(x+3)(x2+x+2)となるから
f(x)=0の解は
x−2=0からx=2
x+3=0からx=−3

x2+x+2=0から
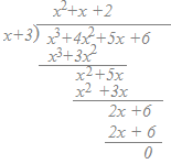
【例(2)】
f(2)=0 , f(−3)=0となるからf(x)(x−2)(x+3)すなわちでx2+x−6割り切れる.
割り算を行う

以上により,f(x)=(x−2)(x+3)(x2+x+2)となるから
f(x)=0の解は
x−2=0からx=2
x+3=0からx=−3

x2+x+2=0から

【問題 B.1.1】 次の4次方程式の解を求めてください.
(下の選択肢から正しいものをクリック)
x4−3x3−5x2+29x−30=0
x=2,−3,2±i x=−2,3,2±i

x=3,−1,2±i x=−3,1,−2±i

【問題 B.1.2】 次の4次方程式の解を求めてください.
(下の選択肢から正しいものをクリック)
x4−6x3+10x2+2x−15=0
x=2,−3,2±i x=−2,3,2±i

x=3,−1,2±i x=−3,1,−2±i


因数定理で因数を見つける方法として,通常は正負の整数,分数までを考え,無理数や虚数までは思いつかないのが普通だから,因数分解した結果が
(2x−1)(3x+2)(x2−x+1)=0
となるような問題
6x4−5x3+3x2+3x−2=0
では

を思いつかなければ問題が解けません.(x2−x+1=0の方からは虚数解が出るので,普通はこの因数は見つからない)

整数係数で
6x4−5x3+3x2+3x−2=(ax+b)(cx3+dx2+ex+f)
のように因数分解できるとすれば,
ac=6
bf=−2
となるはずだから,a6の約数(正負ともあり),b−2の約数(正負ともあり)になります.
そこで,
最高次の係数6の約数を分母とし,
定数項−2の約数を分子とする
正負の分数すべての組合せを考えて試せばよいことになります.
⇒ 分母が1のものは整数でf(±1) , f(±2)
 分母が2,3,6のものでも重複するものは飛ばします

これらを試してみたら

が見つかったということです.
#長編小説=根性物語になります#
【例 B.2】
4x4−8x3−11x2+13x−3=0
(解答)
f(x)=4x4−8x3−11x2+13x−3とおくと

となるからf(x)(2x−1)(2x+3)すなわちで4x2+4x−3で割り切れる.
割り算を行うとf(x)=(4x2+4x−3)(x2−3x+1)となるから
f(x)=0の解は

【問題 B.2.1】 次の4次方程式の解を求めてください.
(下の選択肢から正しいものをクリック)
6x4+11x3−9x2−x+1=0




【問題 B.2.2】 次の4次方程式の解を求めてください.
(下の選択肢から正しいものをクリック)
6x4+5x3−5x2−20x−6=0





※高校ではめったに出さない問題
 x4−x3+5x−3=0のような問題では,虚数解と無理数解しかないので,因数定理を使って次数を下げることはできません.
偶然にでも(x2−2x+3)(x2+x−1)=0という因数分解を思い付かない限りこの方程式を解くのは困難です.
解は

(※こんな問題でも,コンピュータでwxMaximaを使えば,問題を書けば答が出ます.)
【例 B.3】
4x4+8x−3=0
(解答)
左辺を因数分解すると(なぜ思いつくのかまでは答案に書かなくてもよい)
(2x2−2x+3)(2x2+2x−1)=0となるから
メニューに戻る
■[個別の頁からの質問に対する回答][4次方程式 について/17.2.4]
(B)(例1)の]3乗+4]2乗+5]+6÷]+3の途中式が一部間違っています
=>[作者]:連絡ありがとう.2乗が抜けていたので訂正しました.